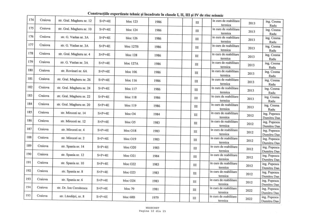
245 clădiri din Craiova sunt expertizate şi încadrate în clasele de risc seismic, potrivit unui răspuns trimis de Primăria Craiova, la solicitarea reporter24.ro. Printre imobile se numără Filarmonica Oltenia sau sediul municipalităţii.
Dintre aceste imobile, potrivit sursei citate, 58 sunt administrate de către instituţii ale statului. Printre ele se numără spitale, şcoli, grădiniţie, sau chiar sedii ale Inspectoratului pentru Situaţii de Urgenţă (ISU) Dolj.

Încadrate în diferite clase de risc seismic, găsim pe listă mai multe sedii ale Spitalului Clinic de Boli Infecţioase şi Pneumoftiziologie „Victor Babeş”, de pe Calea Bucureşti, un pavilion administrativ al ISU, de pe strada CD Fortunescu, o clădire folosită de RAADPFL Craiova de pe strada Împăratul Traian, dar şi sediul Finanţelor Dolj, de pe strada Mihail Kogălniceanu.

Totodată, clădiri încadrate într-un anumit risc seismic sunt Grădiniţa „Elena Farago” din Craiova, de pe strada Revoluţiei, sediul Filarmonicii Oltenia de pe Calea Unirii (foto deschidere), dar şi două sedii ale Primăriei Craiova de pe strada A.I. Cuza.

Cele mai multe clădiri din Craiova care au o categorie de risc seismic sunt blocuri de locuinţe, sau alte imobile private.



























